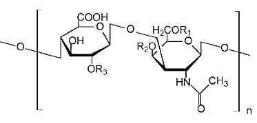
콘드로이친이란?

연골의 1/3을 차지하는 주성분이 바로 콘드로이친이다.
콘드로이친은 연골 주성분 중 수분 다음으로 가장 많은 성분이기도 하다.
콘드로이친은 우리 몸의 각막, 뼈, 각종 장기, 피부 등에 분포되어 있다.

콘드로이친은 영양분의 소화, 흡수, 대사 촉진하는 물질이기도 하다.
혈관은 영양성분을 우리 몸 구석구석에 전달하는 하는 역할을 하는데 연골에는 혈관이 없다. 이러한 혈관의 역할을 대신해주는 것이 바로 콘드로이친이다. 즉, 콘드로이친은 연골에 영양성분이 흡수되도록 도와주는 역할을 한다.
콘드로이친은 수분을 끌어당겨 보유하는 성질이 있어 연골의 탄력성을 유지하도록 하는 역할도 한다.
이러한 모든 특징은 콘드로이친이 연골 소모를 방지하여 관절 간격을 유지하는데 큰 역할을 하게 한다.
우리 몸에 콘드로이친은 나이가 들면 점점 감소한다.
나이가 들수록 콘드로이친의 길이가 짧아지고 끊어지면서 크기가 감소한다. 그 결과 연골의 구조에도 변성이 발생하여 관절 사이 간격이 좁아져 염증이 유발되기도 한다.
나이가 들면 들수록 콘드로이친을 섭취해야 연골 건강을 유지할 수 있다.

<출처 : 정형외과 및 류머티스학 학술지>
1년간 콘드로이친을 섭취 유무에 따른 연골 변화 실험
콘드로이친을 섭취하지 않은 그룹은 관절 사이 평균 너비가 0.29mm 감소한 반면에 콘드로이친을 꾸준히 섭취한 그룹은 관절 간격에 변화가 거의 없었다.
즉, 연골 부피 손실이 거의 없었다는 것이다.

<출처 : 류머티스질병연보>
무릎 관절염이 있는 분을 두 그룹으로 나누어 한쪽 그룹에는 콘드로이친 성분이 포함된 약을 섭취하게 하고 다른 그룹은 콘드로이친이 없는 약을 먹게 했다.
콘드로이친 성분을 섭취한 그룹이 그렇지 않은 그룹보다 연골 손실이 작았다.
이러한 결과를 보면 콘드로이친을 꾸준히 섭취하면 연골의 부피 감소를 예방할 수 있다는 것을 알 수 있다.

국제 골관절염 학회, 유럽 류머티즘 학회에서는 관절염 환자에게 콘드로이친 섭취를 권장하고 있다.
뿐만 아니라 콘드로이친은 관절염을 유발하는 염증을 억제하는데 도움을 줄 수 있다고 한다.
<출처 : 한국식품영양과학회지 >
골관절염을 유발한 쥐에게 6주 동안 콘드로이친을 섭취하게 했더니 염증 촉진인자는 억제되고 연골 생성 대표인자는 유지되었다는 것을 확인했다.

<출처 : 정형외과 및 류머티스학 학술지>
관절 통증 환자에게 콘드로이친 1200mg을 매일 섭취하게 했더니 3개월 후 대조군에 비해 무릎 통증이 약 45% 감소했다는 연구 결과가 있다.

<출처 : 관절염 및 류머티스 저널>
손 관절 통증도 무릎 통증만큼 환자가 많은데 6개월 동안 꾸준히 콘드로이친을 섭취하게 했더니 손 관절 통증이 감소하고 손 관절 움직임과 기능이 개선되었다는 연구 결과가 있다.

콘드로이친 1일 권장 섭취량

하루 800~2,000mg, 2~3번 정도 나눠서 복용
식전 공복 혹은 식후 모두 복용 가능하지만 배탈을 경험한 적이 있다면 음식과 함께 복용하는 것을 추천한다.

'Usage' 카테고리의 다른 글
| 크레아틴 복용법(일반법과 크레아틴 로딩법)과 섭취 시 주의할 점 (0) | 2021.10.04 |
|---|---|
| 알레르기 비염 치료 방법(회피요법, 후처치법) (0) | 2021.10.02 |
| 요로결석 증상과 원인(피해야 하는 음식과 좋은 식품) / 치료법(체외충격파쇄석술) (0) | 2021.09.28 |
| 차전자피의 효능(변비해소) / 부작용 및 먹는법 (0) | 2021.09.23 |
| 과민성 대장증후군 증상과 치료법 / 피해야 하는 음식 혹은 좋은 음식은? (0) | 2021.09.23 |