아연(Zinc)의 기능(면역, 성장, 호르몬조절, 항산화, 해독)과 아연이 부족할 때 우리 몸에 나타나는 증상 및 과다 섭취 시 부작용과 주의할 점
아연은 뇌, 신장, 근육, 간, 뼈, 전립선 등 우리 몸 곳곳에 존재한다.
아연이 필요한 곳은?
특히 우리 몸의 근육과 뼈에 많이 존재하는데 거의 85% 정도 차지한다.
육고기에 아연이 풍부한 이유기도 하다.
그다음으로는 정자 생성, 인슐린 분비 등에 영향을 미치는 고환과 췌장에 많이 존재하며 그다음으로는 망막, 신장, 해마에 존재한다.
특히 뇌에서도 학습과 기억에 관여하는 해마에 많이 존재하기 때문에 성장기 아이들과 학습하는 수험생에게 꼭 필요한 영양소이다.

◈ 아연(Zinc : Zn)의 기능
1. 면역
아연은 면역에 중요한 역할을 한다.
흉선 호르몬이라는 것을 활성화시켜 면역력에 아주 중요한 T림프구라는 것을 성숙시키고 촉진한다.
NK세포의 활성도를 증가시키고 항체 생성을 촉진시켜 면역력 증진에 많은 도움을 준다.
감기, 폐렴, 구내염, 피부염, 천식, 알레르기성 비염과 같은 알레르기 증상을 완화시키는 기능을 한다.

2. 성장
아연은 성장에 있어 중요한 역할을 한다.
단백질, 뼈, DNA 회복, 손상된 조직 회복, 정자생성
3. 호르몬 조절
남성 호르몬, 갑상선 호르몬을 만들 때 아연이 많은 영향을 준다.
갱년기 남성 혹은 갑상선 호르몬에 문제가 있는 남성에게 셀레늄 못지않게 아연도 중요하다.
4. 항산화제 역할

SOD(SuperOxide Dismutase)의 원료가 바로 아연이다.
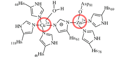
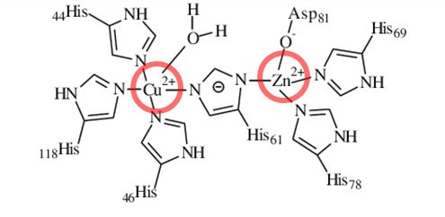
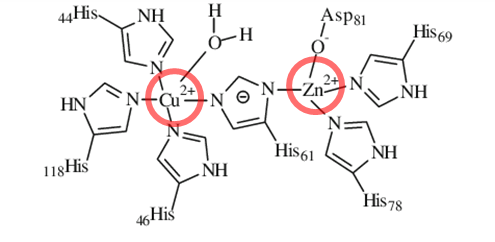
SOD의 구조를 보면 아연뿐만 아니라 구리도 포함되어 있는 것을 볼 수 있다.
5. 해독
아연은 몸에서 중금속해독과 관련된 '메탈로티오네인'이라는 것도 증가시킨다.
즉, 아연은 알레르기나 면역, 해독 등에 꼭 필요하며 혈당조절과 전립선 등의 남성 건강에 매우 중요한 영양소이다.
◈ 아연이 부족할 때 나타나는 증상
1. 면역력 저하
감염에 대한 항체 생산이 감소되어 감기, 폐렴, 구내염 등의 질병에 쉽게 노출된다.
한 연구에 의하면 성장기 어린아이에게 아연을 보충했더니 폐렴 발생률이 현저히 감소했다는 연구결과가 있었다.
2. 성장지연
아연은 아이들의 성장과 발달에 필요한 필수영양소 중의 하나이다.
아연이 부족하면 성장 지연, 발달 지연, 학습 장애 등의 문제가 발생할 수 있다.
3. 피부트러블 발생
아연은 피부의 단백질 합성에 관여하는데 부족하면 여드름, 피부 염증, 피부 건조, 가려움증 등의 피부 트러블이 나타날 수 있다.
4. 손톱의 흰 반점과 흰 줄
아연이 부족하면 손톱에 흰 반점이나 가로줄이 나타난다.
손톱은 단백질로 이루어져 있는데 아연은 체내 단백질을 안정화하는 역할을 한다.
아연이 결핍하면 손톱에 있는 세포들이 비정상적으로 발달하면서 흰 반점과 흰 가로줄이 나타난다.

5. 탈모
아연이 부족하면 세포 분열이 둔화되고 모발의 성장기를 짧게 해 탈모를 유발한다.

6. 상처회복 지연
아연은 콜라겐 형성에 필수적인 영양소인데 부족하면 상처를 치유하는 섬유아세포의 기능이 저하되어 염증이 길어진다.
7. 미각장애
아연이 부족하면 미각 세포의 생성주기가 느려져 미각이 둔화되며 음식을 간을 세게 먹게 된다.
혀의 상피세포는 아연이 풍부한데 아연이 부족하면 혀가 미각을 느끼는 기능이 약해진다.
8. 식욕감퇴
소화관 점막이 위축되고 소화액 분비가 나빠져 소화관 운동이 저하되면서 식욕저하까지 초래한다.
9. 체중감소
10. 기억력 및 집중력 저하
아연은 뇌기능에 중요한 역할을 하는데 부족하면 기억력과 집중력이 저하될 수 있다.

11. 생식기능 저하증
12. 빈혈
아연은 산소를 운반하는 적혈구를 만드는데 필수 영양소이기 때문이다.
13. 잦은 설사
아연이 현저하게 부족하면 설사를 하게 되는데 설사를 할 정도로 아연이 부족하다면 앞서 언급한 증상들이 이미 나타났을 것이다.
설사를 하게 되면 아연이 빠져나가서 아연부족의 악순환이 반복될 수 있으니 주의가 필요하다.

아연은 해산물, 붉은 살코기, 견과류 등에 풍부할 뿐만 아니라 현미, 채소, 과일에도 풍부하다.
아연은 땀과 함께 배출되는 특징을 가지고 있어 땀을 많이 흘리는 여름철 무더위에 아연을 보충하는 것이 쉽지 않다.
아연은 소장에서 33% 흡수하는 것으로 알려져 있다.
◈ 아연의 흡수를 방해하고 저해하는 요소

1. 커피, 알코올(술)
2. 과도한 다이어트, 육고기를 전혀 먹지 않는 채식 위주의 식사
3. 중금속에 노출되는 환경
4. 과도한 구리(Cu) 섭취
고기, 계란, 치즈는 아연의 흡수를 증가시켜 준다. 현미, 채소, 과일에도 풍부하기 때문에 골고루 잘 먹는다면 충분히 아연을 섭취할 수 있다.
◈ 아연 과다섭취 부작용
우리나라는 아연의 상한 섭취량이 35mg
미국국립보건원에서는 40mg으로 설정되어 있다.
즉, 아연은 35~40mg 섭취는 부작용이 나타날 확률이 거의 없다고 봐야 한다.
시중에 판매되고 있는 아연(ZINC)의 성인영양제는 20~30mg 전후로 조성되어 있다.
하지만 이러한 기준량이 절대적인 것은 아니다. 이 이상 섭취한다고 부작용이 무조건 생기는 것도 아니기 때문이다.
내 몸의 영양상태를 고려해서 고함량으로 섭취하기도 하는데 판매되는 제품 중에는 50mg까지 나와 있기도 하다.
문제는 종합영양제에도 빠지지 않고 들어가는 영양소가 바로 아연이다.
여러 영양제를 섭취하다 보면 나도 모르게 특정 영양소를 중복섭취하게 되어 과다복용하는 경우가 발생한다.
아래의 증상이 나타났다면 아연의 과다섭취를 의심해봐야 한다.
1. 구토, 메스꺼움, 복통, 설사 등의 위장장애
특히 메스꺼움과 구토는 아연을 공복 시 복용하거나 과다섭취 시 자주 발생할 수 있다.
한 연구에 따르면 아연을 50~100mg 섭취했을 때 복부팽만감, 메스꺼움, 복부경련이 많이 나타났다는 결과가 있었다. 그리고 감기와 아연에 대한 17개의 연구를 검토했더니 참가자들에게서 메스꺼움이나 복통, 설사, 변비 같은 증상들이 많이 생겼다고 보고되어 있다.
아연을 고용량으로 먹지 않더라도 개인에 따라서는 위장장애가 생길 수도 있다. 이럴 경우 식후에 섭취해 보고 증상이 계속된다면 복용을 중단해야 한다.
2. 미각의 이상
사실 아연은 혀의 미각을 느끼는 세포분열을 촉진하여 미각의 정상적인 기능을 유지하도록 도와준다.
아연이 부족하면 미각장애를 일으킬 수 있다고 했는데 입맛이 사라졌거나 맛을 잘 못 느낄 수 있다. 하지만 반대로 아연을 너무 많이 섭취하면 입 안에서 나쁜 맛, 금속 맛 같은 것을 느낄 수 있다.
만일 입안에서 쇠맛이 느껴진다면 아연을 너무 많이 섭취하고 있는 건 아닌지 확인해봐야 한다.

3. 구리결핍
구리도 우리 몸에서 없어서는 안 되는 미량 원소 중에 하나이다.
아연과 구리는 우리 몸에 철분의 흡수와 신진대사를 도와준다. 즉, 적혈구와 백혈구 생성에 반드시 필요한 성분이다.
아연과 구리는 소장에서 흡수되는 경로가 같다. 그래서 서로 경쟁적인 관계에 있다.
또한 아연은 체내 금속이온과 결합하는 '메탈로티오네인'을 증가시켜 구리배설을 촉신시키기도 한다.
즉, 아연을 과다복용하면 구리결핍이 될 수 있고 적혈구 수치가 감소할 수 있다.
아연을 고용량으로 복용하다가 일정기간 동안 중단하는 이유도 여기에 있다.
4. HDL콜레스테롤 저하
아연을 과다복용하면 좋은 콜레스테롤로 알려져 있는 HDL콜레스테롤이 저하된다.
HDL콜레스테롤은 나쁜 콜레스테롤을 제거하여 심혈관계질환을 억제하는데 도움을 준다.
여러 연구에 따르면 아연을 매일 50mg 이상 먹었을 때 나쁜 콜레스테롤인 LDL콜레스테롤에는 영향을 끼치지 않았지만 좋은 콜레스테롤 HDL콜레스테롤을 감소시켰다는 결과가 있었다.
아연을 매일 50mg씩 먹는 사람은 주로 운동하는 사람들이다.

◈ 아연을 복용할 때 주의할 점은?
1. 퀴놀론계 항생제
요로감염에 주로 사용하는 퀴놀론계 항생제와 피부, 결막염에 쓰는 테트라사이클린계 항생제는 아연과 동시 섭취하는 것은 금물이다.
위장관에서 항생제의 흡수감소가 일어날 수 있기 때문이다.
2. 철분제와 아연의 동시 섭취 금물
아연이 철분의 흡수를 방해하기 때문에 동시 섭취하지 않는 것이 좋다.
3~4시간 정도 간격을 두고 섭취하는 것이 좋다.